Global Trade Lead, Global B2B Directory, Machine Manufacturer, Trade Leads, B2B, Taiwan Exporter,Taiwan Manufacturer,Global Manufacturer Directory ,Manufacturer Directory,Taiwan Manufacturer Directory,B2B Marketplace.
MachineCenter
Home Sign In Join Free Help Inquiry Basket
| Global-Trade | Bicycle     | Offer to Buy | Offer to Sell | Post an Offer |
Advanced
Shandong Boyuan Chemical Co.,Ltd.
 
 
  Product :
 
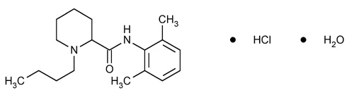
  Product Name: Bupivacaine Hydrochloride
   
 
 
  Product Description:
Product name : Bupivacaine Hydrochloride
Molecular formula: C18H28N2O.HCl.H2O
CAS#14252-80-3
Standard: USP29
Appearance: White crystalline powder
Purpose: Analgesics of anesthetics

  Contact Information:
Company Name: Shandong Boyuan Chemical Co.,Ltd.
Contact Person: Dwyane Wang
Address: 50 Sang Yuan Road,Jinan,China
E-Mail:
Telephone: 86-531-88969631
Mobile: ------------
Fax: 86-531-88964879
Web Site: www.boyuanchem.com
 
 
 
 
Advanced
Home About us Site Map Advertise Contact us B2B Link
Copyright © 2004-2019, Global-Trade. All rights reserved.